|
|
|
|
|
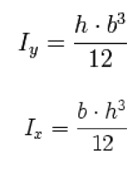
Le moment quadratique
I
est une grandeur qui caractérise la
géométrie d'une section et se définit par rapport à un axe ou un
point.
Il s'exprime dans le système international en
m4
( à la puissance 4).
Cas d'une section droite rectangulaire :
Le moment quadratique est utilisé en
résistance des matériaux.
Il est indispensable pour calculer la
résistance et la déformation des poutres
sollicitées en flexion.
En effet, la résistance d'une section sollicitée selon un axe donné
varie avec son moment quadratique autour de cet axe.
|
| |
| |
| |
| |
| |
| |
| |
| |
| |
| |
| |
| |
| |
| |
| |
| |
| |
| |
| |
| |
| |
| |
| |
| |
| |
| |
| |
| |
| |
| |
| |
| |
| |
| |
| |
| |
| |
| |
| |
| |
| |
| |
| |
| |
| |
| |
| |
| |
| |
| |
| |
| |
| |
| |
| |
| |
| |
| |
| |
| |
| |
| |
| |
| |
| |
| |
| |
| |
| |
| |
| |
| |
| |
| |
| |
| |
| |
| |
| |
| |
| |
| |
| |
| |
| |
| |
| |
| |
| |
| |
| |
| |
| |
| |
| |
| |
| |
| |
| |
|
|